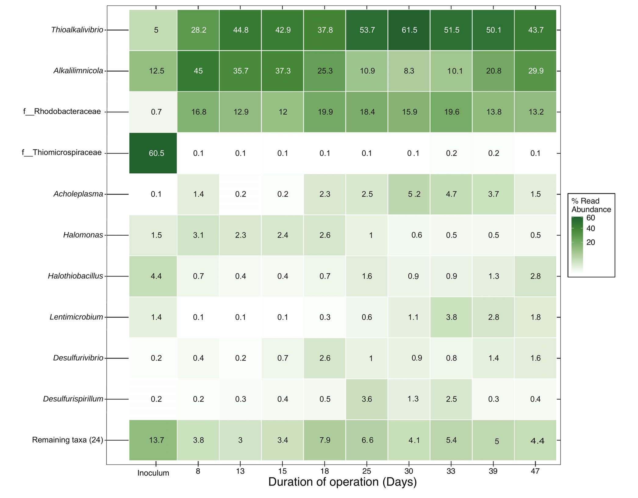
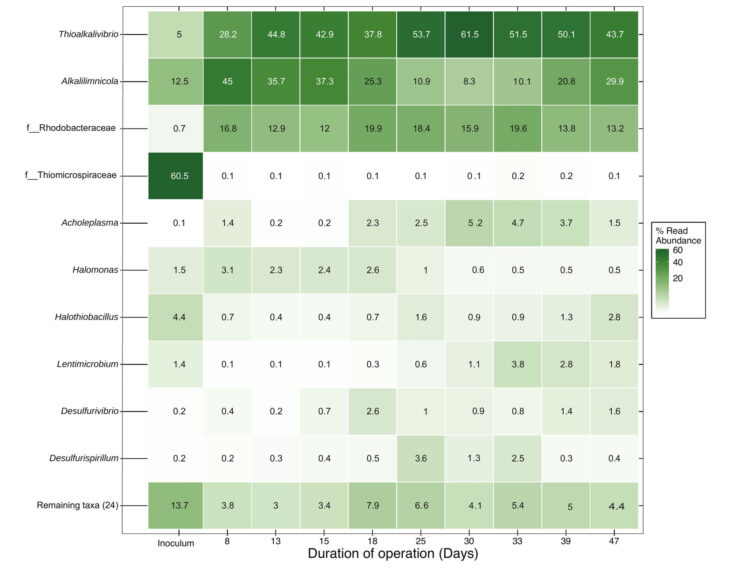
New publication
Today my PhD-student Suyash Gupta published an article entitled “Enhanced activity and tolerance of sulfide-oxidizing bacteria in a dual reactor haloalkaline biodesulfurization system” in the Journal of Applied Microbiology. Go to READ MORE and click on the link to read the paper.